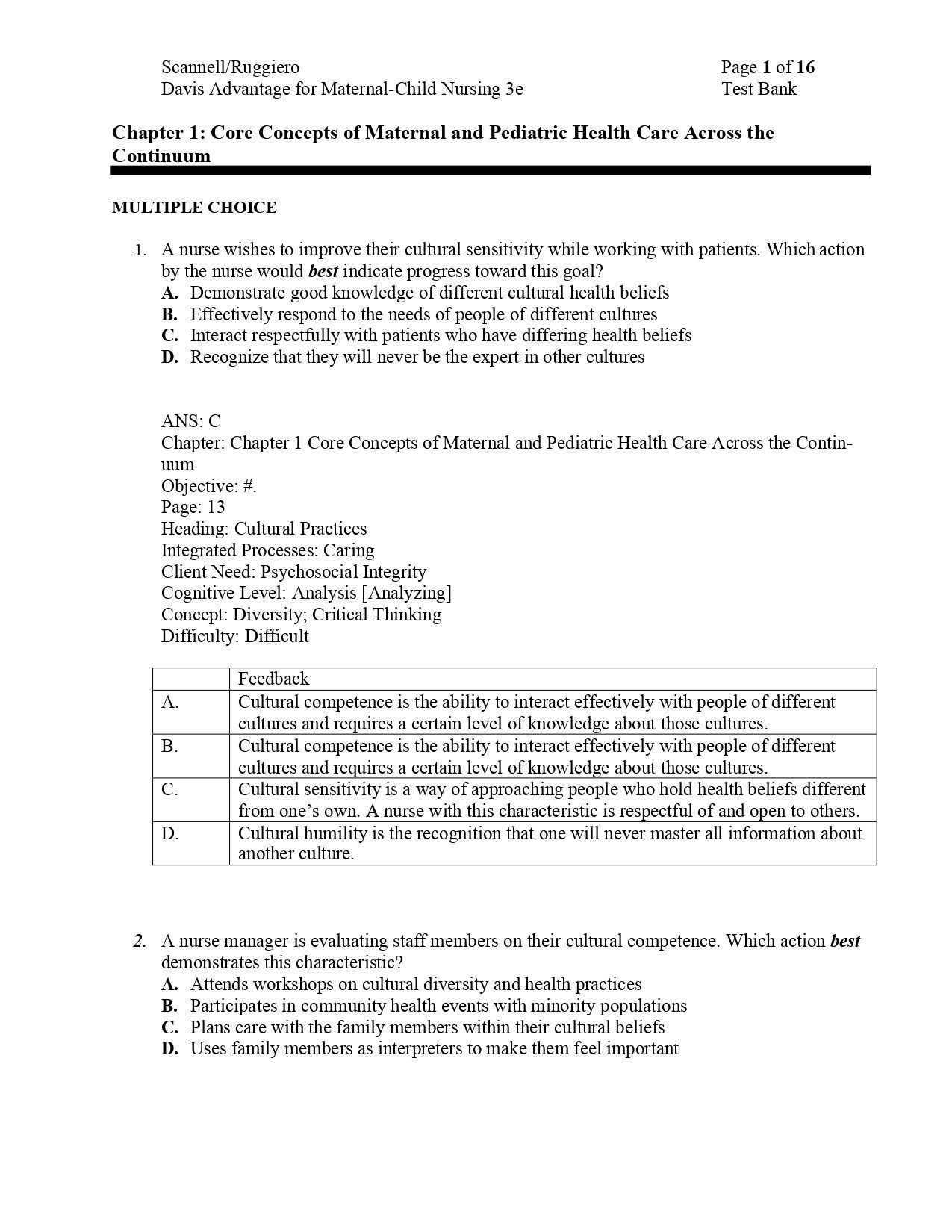
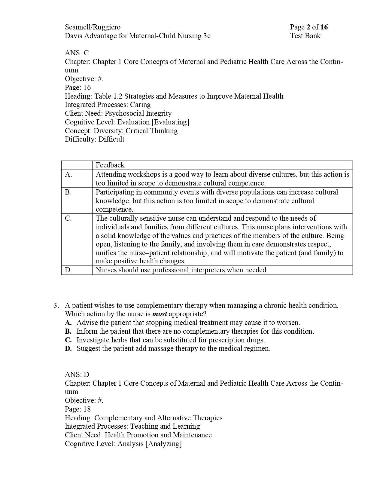
Test Bank for Davis Advantage for Maternal Child Nursing Care 3rd Edition | Scannell | 9781719640985
$18.59
Master the full continuum of care with the Davis Advantage for Maternal Child Nursing Care (3rd Edition) Test Bank by Meredith J. Scannell and Kristine Ruggiero. This comprehensive 500-page resource provides NCLEX-style questions and detailed rationales for all 33 chapters, including the essential Women’s Health units. Instant PDF Download available immediately at nursingquizbank.com.
- ✅ Full coverage of 33 Chapters (Reproduction to Pediatric Cancer)
- ✅ Includes the complete Women’s Health section (Chapters 28-33)
- ✅ Detailed Rationales explaining maternal and child clinical logic
- ✅ High-Quality, Searchable 500-page PDF
- ✅ Instant Delivery via email 24/7
Related products
-
Maternal-Child / Obstetrics Nursing Test Bank
Test Bank for Maternal Child Nursing Care (7th Edition) – Perry & Hockenberry | ISBN: 9780323776714
$26.00Original price was: $26.00.$18.00Current price is: $18.00. Add to cart -
Maternal-Child / Obstetrics Nursing Test Bank
Foundations of Maternal-Newborn and Women’s Health Nursing 8th Edition Test Bank | ISBN 9780323827386
$26.00Original price was: $26.00.$18.00Current price is: $18.00. Add to cart -
Maternal-Child / Obstetrics Nursing Test Bank
Introductory Maternity & Pediatric Nursing 5th Edition Test Bank | Hatfield & Kincheloe | ISBN 9781975163785
$26.00Original price was: $26.00.$20.00Current price is: $20.00. Add to cart -
Maternal-Child / Obstetrics Nursing Test Bank
Davis Advantage for Maternal-Child Nursing Care Test Bank (4th Edition) – Scannell & Ruggiero
$35.00Original price was: $35.00.$30.00Current price is: $30.00. Add to cart







